Освіта
Загальна формула одноатомних спиртів: Основи та Застосування Одноатомні спирти є важливим класом органічних сполук, і загальна формула одноатомних спиртів
Йод формула: Хімічні властивості і використання Ключова фраза: йод формула. Йод — це елемент з унікальними хімічними властивостями, який відіграє важливу
Формула крохмалю: Структура та Характеристики У хімії та біохімії, формула крохмалю є основоположною для розуміння його властивостей та застосування.
Формула сили тяжіння Формула сили тяжіння є фундаментальною складовою розуміння принципів, які лежать в основі багатьох явищ у фізиці та космології.
Скалярний добуток векторів: формула У геометрії та лінійній алгебрі скалярний добуток, також відомий як внутрішній добуток, є однією з основних операцій над векторами.
Загальна формула карбонових кислот Карбонові кислоти є важливим класом органічних сполук, які мають загальну формулу R-COOH. Ця формула відображає основну
Формула для обчислення роботи електричного струму Коли ми стикаємося з електричними пристроями, які виконують певну роботу, важливо зрозуміти, як розрахувати
Формула для обчислення кінетичної енергії тіла Формула для обчислення кінетичної енергії тіла є однією з найважливіших концепцій у фізиці, що описує рух тіл.
Водень: Формула Майбутнього Енергетики Водень, формула якого часто позначається як H2, є найбільш поширеним елементом у Всесвіті та важливою частиною енергетичного майбутнього.
Велосипеди Формула: Ідеальний Вибір для Усіх Вікових Груп Коли мова заходить про велосипеди формула, ми розглядаємо їх як універсальний вибір для різних
Формула косинусів: Основи та практичне застосування Формула косинусів є одним з фундаментальних принципів тригонометрії, яка надає можливість вирішувати
Йодидна кислота: формула та її властивості Йодидна кислота, формула якої — HI, є хімічною сполукою, що належить до ряду галогеноводневих кислот.
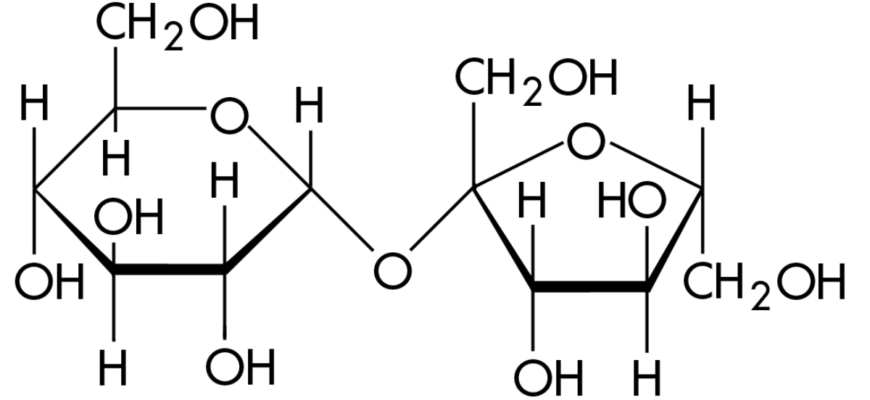
Сахароза: Хімічна Формула та Її Особливості Сахароза, формула якої C12H22O11, є одним з найвідоміших вуглеводів, що відіграють значну роль у промисловості
Загальна формула насичених одноатомних спиртів У світі органічної хімії одну з найважливіших ролей відіграють насичені одноатомні спирти, що мають спільну
Об’єм куба: формула і особливості розрахунку Об’єм куба, формула якого є однією з фундаментальних у геометрії, використовується для обчислення
Вієта формула: Декодування секретів поліномів У математиці існує безліч правил і методів, які допомагають розв’язувати складні завдання, і одним
Магний гідроксид: формула та її значення Магний гідроксид, формула якого Mg(OH)2, є важливою неорганічною сполукою, що знаходить своє застосування в різних
Пропин Формула: Основи та Застосування Пропин формула є важливою частиною хімічної науки і промисловості, яка пов’язана з унікальними властивостями цієї речовини.
Освіта
Загальна формула гомологів метану: основи та приклади Загальна формула гомологів метану представлена наступним чином: CnH2n+2. Вона є ключем до систематичного
Формула Ейнштейна: Фундаментальний Рівняння, що Змінило Світ Формула Ейнштейна, відома як E=mc², є однією з найвідоміших і найважливіших формул в історії науки.

















