Освіта
Формула роботи: основи, приклади та застосування У фізиці та багатьох інших науках поняття “формула роботи” є ключовим для розуміння руху
Теорема про кут 30 градусів: вивчення та застосування У шкільній геометрії та тригонометрії теорема про кут 30 градусів є однією з основоположних.
Формула середньої лінії трапеції Формула середньої лінії трапеції є важливим інструментом у геометрії, що дозволяє розрахувати довжину середньої лінії
Індукція магнітного поля формула: розкриття основних аспектів Індукція магнітного поля формула відіграє ключову роль у фізиці магнетизму, дозволяючи зрозуміти
Як розрахувати витрати пального на 100 км: формула, поради та рекомендації Знання того, як розрахувати витрати пального на 100 км за допомогою формули
Формула периметра прямоугольника: ключ до розуміння геометрії Формула периметра прямоугольника є одним з основоположних понять, яке дозволяє нам осягнути
Теорема косинусів: формула і її застосування Теорема косинусів, формула якої є важливим елементом у геометрії, зокрема в тригонометрії, використовує співвідношення
Формула закону Джоуля-Ленца: Відкриття, яке змінило світ Формула закону Джоуля-Ленца є фундаментальним законом в електродинаміці, який описує процеси виділення
Формула розрахунку калорій: ключ до гармонійного раціону Формула розрахунку калорій є основою для правильного визначення потреби організму в енергії.
Формула насичених одноатомних спиртів: Основи та Характеристики Вступ Формула насичених одноатомних спиртів є ключовим елементом вивчення органічної хімії
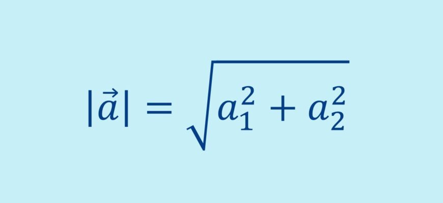
Формула модуль вектора: Визначення та Використання Поняття “формула модуль вектора” є критично важливим у розумінні базових концепцій векторної
Ферум 3 сульфат формула та її значення Ферум 3 сульфат, формула якого Fe2(SO4)3, є однією з важливих неорганічних сполук заліза, яка знаходить широке застосування
Формула розрахунку: витрата пального на 100 км Кожен водій хоча б раз ставив питання: як правильно розрахувати витрату пального на 100 км, формула якої
Формула для обчислення потужності Формула для обчислення потужності є основоположним елементом розуміння фізики, зокрема електрики та електроніки.
Закон всесвітнього тяжіння: формула Закон всесвітнього тяжіння, формула якого є однією з фундаментальних у фізиці, дозволяє зрозуміти взаємодію між різними об’
Формула для обчислення густини: теорія та застосування Формула для обчислення густини має вигляд: ρ = m/V, де ρ — густина, m — маса, а V — об’
Формула площі прямокутного трикутника: основні поняття Формула площі прямокутного трикутника є однією з базових у вивченні геометрії, оскільки прямокутний
Освіта
Як розрахувати розхід палива: формула для точних розрахунків У повсякденному житті, особливо для автомобілістів, важливе значення має розуміння того, як
Периметр прямокутника: формула та її застосування Периметр прямокутника: формула є основою для розрахунку обсягу меж цієї геометричної фігури.
Теорема Піфагора Застосовується У Теорема Піфагора застосовується у багатьох галузях нашого життя. Цей фундаментальний принцип геометрії, названий на честь

















